Estudio para la aplicación de LMS como apoyo pedagógico para estudiantes de educación básica superior: caso Escuela de Educación Básica José María Barona de Vinces.
(en) Study for the application of LMS as pedagogical support for students of upper basic education, case: Escuela de Educación Básica José María Barona de Vinces.
(port) Estudo para aplicação de LMS como suporte pedagógico para alunos do ensino fundamental superior: caso Escuela de Educación Básica José María Barona de Vinces.
Rosa Isabel Mayea Carpio.
Universidad Técnica de Babahoyo, Los Ríos, Ecuador
Docente Escuela de Educación Básica José María Barona de Vinces
ri_mayea@utb.edu.ec, rosamayea@gmail.com , rosa.mayea@educacion.gob.ec
https://orcid.org/0000-0001-8987-6815
Mayea-Carpio, R. I. (2023). Estudio para la aplicación de LMS como apoyo pedagógico para estudiantes de educación básica superior: caso Escuela de Educación Básica José María Barona de Vinces. YUYAY: Estrategias, Metodologías & Didácticas Educativas, 1(1), 118–143. https://doi.org/10.59343/yuyay.v1i1.11
Enviado: 21-12-2022 / Revisado: 26-01-2023 / Publicado: 06-02-2023
![]()

Resumen
El proceso de sistematización de los datos que se presentan en este artículo corresponden a un eje investigativo aplicado en la Escuela de Educación Básica JOSÉ MARÍA BARONA (EEB JMB) del cantón Vinces en la provincia de Los Ríos-Ecuador, el muestreo seleccionado para esta publicación corresponde a la planta docente de la misma y se trabajó en paralelo al programa de posgrado de la Universidad Técnica de Babahoyo, de ahí que el material ha sido filtrado y puede ser consultado para un análisis o correlación entre docencia y estudiantado. Los resultados que se presentan en esta selección investigativa fueron analizados a través de una prueba de test binomial en el programa JASP 0.15 para la sistematización de los resultados y por los cuales se propone una guía metodológica para la implementación de estrategias de enseñanza-aprendizaje en un EVA para que el estudiantado pueda insertar las nuevas realidades en desarrollo hacia su contexto y además, pueda ser implementado independientemente de la estructura tecnológica institucional, en especial de instituciones que consideran este tipo de proyectos como sus ejes de evolución o misión a mediano plazo.
Palabras claves: EVA, TIC, metodologías, guía metodológica, enseñanza-aprendizaje.
Abstract
The systematization process of the data presented in this article corresponds to a research group applied at the Escuela de Educación Báscia JOSÉ MARÍA BARONA (EEB JMB) of the cantão de Vinces in the province of Los Ríos-Equador, sample selected for this publication. The teaching body of the same and work in parallel to the post-graduation program of the Universidad Técnica de Babahoyo, therefore the material was filtered and can be consulted for an analysis or correlation between teaching and students.
The results presented in this research selection were analyzed by means of a binomial test in the JASP 0.15 program for the systematization of two results and for which purpose a methodological guide was proposed for the implementation of teaching-learning strategies in a VAS so that the student body could insert The new realities are developing in their context and, furthermore, they can be implemented independently of the institutional technological structure, especially of institutions that consider this type of project as their evolutionary or medium-term miss.
Keywords: EVA, TIC, methodologies, methodological guide, teaching-learning.
Summary:
O processo de sistematização dos dados apresentados neste artigo corresponde a um eixo de pesquisa aplicado na Escola de Educação Básica JOSÉ MARÍA BARONA (EEB JMB) do cantão de Vinces na província de Los Ríos-Equador, amostra selecionada para esta publicação. ao corpo docente da mesma e trabalhou em paralelo ao programa de pós-graduação da Universidade Técnica de Babahoyo, portanto o material foi filtrado e pode ser consultado para uma análise ou correlação entre ensino e alunos.
Os resultados apresentados nesta seleção investigativa foram analisados por meio de um teste binomial no programa JASP 0.15 para a sistematização dos resultados e para o qual é proposto um guia metodológico para implementação de estratégias de ensino-aprendizagem em um EVA para que o corpo discente possa inserir as novas realidades em desenvolvimento em seu contexto e, além disso, pode ser implementado independentemente da estrutura tecnológica institucional, especialmente de instituições que consideram este tipo de projeto como seus eixos de evolução ou missão a médio prazo.
Palavras-chave: EVA, TIC, metodologias, guia metodológico, ensino-aprendizagem.
Diagnóstico. -
Debido a que el hecho de conocer o dominar algunos recursos de lo digital, no implica ni garantiza la eficacia en la inserción dentro de las nuevas formas de hacer educación, es necesario que el desarrollo de un cuerpo investigativo que incluya la implementación de un EVA dentro de una institución pública dialogue con las herramientas que ya dispone a nivel humano y físico.
Godino (2019) sostiene que es preciso, además, reconocer la disposición de estrategias y técnicas para desarrollarlos (Godino, 2002, p. 237). Particularmente en las referencias educacionales, esto definirá la forma en la que comprenda la división y repartición de elementos tangibles e intangibles, al punto de inferir en aspectos sociológicos como la interacción en el espacio y de habitar su entorno (Cabrera, 2019, p. 9).
Cabe mencionar que además de los estudios ya mencionados, otros grupos de investigación identifican competencias docentes, entre las que se han considerado: las intelectuales de Galvis (2007), las sociales y profesionales de Lindblom (2008), o inter e intrapersonales de Abadía y Bueno (2015). Por añadidura a esto, Zabalza (2009) definió lo que el docente necesita para llegar a la excelencia, a través de 9 cualidades: a) Planificación; b) Adecuada presentación de contenidos disciplinares; c) Explicaciones sencillas de entender; d) Manejo de las TIC; e) Buena gestión de metodologías; f) Buena relación con los alumnos, g) Reflexión sobre la enseñanza e; i) Compromiso institucional.
El conjunto de cualidades permite discernir que, a pesar de existir distintas clasificaciones de competencias docentes, se pueden distinguir competencias comunes en dichos modelos, pudiendo reconocer competencias básicas que describen las habilidades y el conocimiento propios de la labor del maestro, todo lo cual es consecuencia de su desarrollo profesional.
Rivadeneira (2017), propone un conjunto de competencias didácticas-pedagógicas que el docente debe tener en su labor educativa. La autora las divide en 7 ciclos y 3 tipos de habilidades que conllevan el saber conocer, saber hacer y saber ser. Las competencias propuestas por la autora están dirigidas a orientar el proceso de enseñanza-aprendizaje y a apoyar la reflexión de la práctica pedagógica, la cual persigue tanto la formación integral como el aprendizaje de los estudiantes.
Sin embargo, es necesario indicar que existen una infinidad de recursos disponibles a los que se les puede dar diferentes usos y en muchas de las ocasiones, no se utilizan debido a la falta de guía respecto a su uso o al manejo de las diferentes interfaces que podrían encajarse en el currículo de una institución, específicamente para este proceso investigativo con la Escuela de Educación Básica JOSÉ MARÍA BARONA (EEB JMB) del cantón Vinces.
Definición del problema. -
La propuesta para revisar la posibilidad acerca de los entornos virtuales de aprendizaje (EVA) como herramientas pedagógicas en el proceso educativo de los estudiantes de básica superior de la Escuela de Educación Básica José María Barona (EEB JMB) del cantón Vinces en la provincia los Ríos, permitirá analizar el uso de los EVA que permiten un conocimiento constructivista.
Esto implica un desarrollo estructural en los conocimientos, se describe que las TIC son un papel importante en los estudiantes, ya que propicia la transformación tecnológica acorde con las actuales exigencias sociales, en los contextos educativos y con estrecha relación a la formación de los nuevos profesionales, por ello en esta investigación se caracteriza la utilización de los EVA en la Educación moderna.
La falta de conocimiento y poco uso de las metodologías en la educación virtual a cargo de los docentes, ocurre por la falta de capacitación de los mismos en los procesos e-learning, ya que en su gran mayoría reconocen los EVA y lo que implica dicha incapacidad de estructurar una forma correcta en las aulas virtuales ocasionando desorientación en los estudiantes, generando la incorrecta aplicación de los mismos, repercutiendo en sus procesos de enseñanza aprendizaje respecto a lo tecnológico a la hora de realizar los procesos sincrónicos y asincrónicos propios de la educación virtual (Salazar, 2018)
Se considera que la labor de enseñanza – aprendizaje dentro de un EVA, realizado a través de las distintas actividades que se pueden desarrollar dentro del mismo, debe considerar entre otros aspectos metodológicos y pedagógicos, el mantener un diálogo didáctico mediado bidireccional y multidireccional profesor – estudiante (Benavídez, et al., 2017, p. 47)
Por ende se afirma que esta investigación fue basada en la problemática que tiene la Escuela de Educación Básica José María Barona, del cantón Vinces, notándose falencias en conocimientos acorde con las actuales exigencias sociales en las que se encuentra el mundo entero, ya que esto a causa de no poder acceder a la interacción estudiante docente se ve nula la posibilidad de educarse en estos momentos y permitirá mejorar el proceso educativo con las herramientas pedagógicas optimizando así la interacción entre alumno y docente.
Investigación. -
Se aplicaron métodos descriptivos y explicativos para la recolección de campo respecto a la problemática de los entornos virtuales de aprendizaje como herramientas pedagógicas en el proceso educativo (Chong-Baque y Marcillo-García, 2020) de los estudiantes de la Escuela de Educación Básica José María Barona del cantón Vinces, a continuación, se detallarán los tipos de investigación utilizados.
La población consiste en docentes de la Escuela de Educación Básica José María Barona del cantón Vinces, Provincia Los Ríos, para la recolección de datos de las fuentes implicadas se tomó en cuenta a estas dos partes porque están integradas en la problemática tanto de forma directa como indirecta. La población completa consta de (119) integrantes, de los mismos (109) son estudiantes, (7) son docentes de aula y (2) autoridades para el desarrollo de este documento y la presentación específica del caso de estudio se ha considerado mostrar los resultados obtenidos de la aplicación de base a los docentes de aula.
Tabla 1
Muestreo
Poblacional
|
DESCRIPCION |
POBLACION |
MUESTRA |
|
Estudiantes |
109 |
109 |
|
Docentes |
7 |
7 |
|
Autoridades |
2* |
2 |
|
TOTAL |
119 |
119 |
Nota*: Las entrevistas se aplican al personal administrativo de la institución.
Para determina los resultados se aplicará el procedimiento de análisis a partir de prueba binomial para comparar las frecuencias entre la pregunta y las alternativas que se poseen y así establecer el parámetro de probabilidad de aceptación bajo un rambo de 0.5. Las probabilidades que se analizan serán menos de 1 que la probabilidad especificada en cada uno de los grupos.
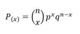
Ecuación 1
Índice de distribución binomial

Donde:
n = Número de ensayos/experimentos
x = Número de éxitos
p = Probabilidad de éxito
q = Probabilidad de fracaso (1-p)
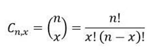
Aquí cabe mencionar que la expresión entre corchetes no es una expresión matricial (IBM, 2019), sino que es un resultado de una combinatoria sin repetición. Este se obtiene con la siguiente formula y matriz operacional:
Ecuación 2
Distribución binomial por sustitución de fórmula

Nota: El signo de exclamación en la expresión anterior representa el símbolo de factorial.
Tabla 2
Matriz
de operación de variables para la elaboración de encuesta
|
VARIABLES |
DEFINICIÓN CONCEPTUAL |
DEFINICIÓN OPERACIONAL |
DIMENSIONES |
INDICADORES |
ÍTEM / INSTRUMENTO |
|
|
* “La inclusión de las tecnologías de la comunicación e información tiene fines formativos ha dado paso a los entornos virtuales de aprendizaje, los cuales, respaldados por teorías constructivistas, brindan un marco teórico y metodológico, contribuyendo así al desarrollo cognitivo de los estudiantes a nivel universitario, puesto de manifiesto en el desarrollo de sus esquemas de aprendizaje” (Araque I. et al. 2018).
* Los entornos virtuales de aprendizaje son herramientas pedagógicas en el proceso educativo de los estudiantes (Chong-Baque y Marcillo-García, 2020)
|
La inclusión de las tecnologías de la comunicación e información con fines formativos ha dado paso a los entornos virtuales de aprendizaje, los cuales, respaldados por teorías constructivistas, brindan un marco teórico y metodológico, contribuyendo así al desarrollo cognitivo de los estudiantes a nivel universitario, puesto de manifiesto en el desarrollo de sus esquemas de aprendizaje. La teoría de los campos conceptuales ofrece un análisis acerca de los elementos de los esquemas y del proceso de construcción de conocimientos. (Araque, Montilla, Meleán y Arrieta, 2018, p. 1) |
Métodos de enseñanza y aprendizaje |
*
Impulso de enseñanza.
|
ENCUESTA PARA DOCENTES ¿Cree usted que con el uso de un entorno virtual está impulsando la enseñanza?
¿Considera usted que con el uso de un entorno virtual está promoviendo un entorno participativo en clases?
¿Cree usted que con el uso de un entorno virtual está logrando una influencia táctica de enseñanza?
¿Usted cree que el uso de un entorno virtual está mejorando el aprendizaje en los estudiantes?
¿Considera usted que mediante el uso de un entorno virtual está mejorando la comprensión de la clase impartida?
¿Usted en su experiencia cree que el uso de un entorno virtual en el ámbito educativo está brindando relación recíproca docente-estudiante?
¿Usted cree que las TIC están influenciando en el aprendizaje activo de los estudiantes?
¿Considera usted que en el proceso educativo está mejorando el aprendizaje de los estudiantes?
¿Cree usted que con la mejora en el proceso educativo se está logrando una educación de calidad?
¿Considera usted que el proceso educativo está logrando una aplicación práctica en la enseñanza? |
|
Metodología dinámica |
*
Influencia táctica de enseñanza.
|
||||
|
Interacción docente-estudiante |
*
Brindar relación recíproca.
|
||||
|
Estrategias didácticas |
*
Aprendizaje aplicable.
|
||||
|
Estilo de enseñanza |
*
Aplicación práctica.
|
Debido al tamaño de la muestra, la interpretación de la base binomial para docentes puede ser tabulada en un mismo cuerpo de tabla. Esto permite identificar los niveles de calificación y clasificación en las que 5= Totalmente de acuerdo (TDA), 4= De acuerdo (DA), 3= Ni de acuerdo, ni en desacuerdo (NAND), 2= En desacuerdo (ED), 1= Totalmente en desacuerdo (TED).
A partir de esta recolección se interpreta el porcentaje de proporción en la que se puede determinar si la intencionalidad es baja o alta en correspondencia con el número de respuestas y su correlación con la totalidad de la muestra.
Tabla 1
Correlación binomial para análisis de la proporción positiva
o negativa
|
95% CI de Proporción |
|||||||||||||||
|
Variable |
Nivel |
Conteo |
Total |
Proporción |
p |
baja |
alta |
||||||||
|
1.-. Cree usted que con el uso de un entorno virtual esta. impulsando la enseñanza? |
1 |
4 |
7 |
0.571 |
1.000 |
0.184 |
0.901 |
||||||||
|
|
2 |
1 |
7 |
0.143 |
0.125 |
0.004 |
0.579 |
||||||||
|
|
3 |
1 |
7 |
0.143 |
0.125 |
0.004 |
0.579 |
||||||||
|
|
4 |
1 |
7 |
0.143 |
0.125 |
0.004 |
0.579 |
||||||||
|
2.-. Considera usted que con el uso de un entorno virtual está. promoviendo un entorno participativo en clases? |
1 |
3 |
7 |
0.429 |
1.000 |
0.099 |
0.816 |
||||||||
|
|
2 |
3 |
7 |
0.429 |
1.000 |
0.099 |
0.816 |
||||||||
|
|
4 |
1 |
7 |
0.143 |
0.125 |
0.004 |
0.579 |
||||||||
|
3.-. Cree usted que con el uso de un entorno virtual está. logrando una influencia táctica de enseñanza? |
1 |
3 |
7 |
0.429 |
1.000 |
0.099 |
0.816 |
||||||||
|
|
2 |
3 |
7 |
0.429 |
1.000 |
0.099 |
0.816 |
||||||||
|
|
4 |
1 |
7 |
0.143 |
0.125 |
0.004 |
0.579 |
||||||||
|
4.-. Usted cree que el uso de un entorno virtual está. mejorando el aprendizaje en los estudiantes? |
1 |
4 |
7 |
0.571 |
1.000 |
0.184 |
0.901 |
||||||||
|
|
2 |
2 |
7 |
0.286 |
0.453 |
0.037 |
0.710 |
||||||||
|
|
4 |
1 |
7 |
0.143 |
0.125 |
0.004 |
0.579 |
||||||||
|
5.-. Considera usted que mediante el uso de un entorno virtual está. mejorando la comprensión de la clase impartida? |
1 |
2 |
7 |
0.286 |
0.453 |
0.037 |
0.710 |
||||||||
|
|
2 |
2 |
7 |
0.286 |
0.453 |
0.037 |
0.710 |
||||||||
|
|
3 |
1 |
7 |
0.143 |
0.125 |
0.004 |
0.579 |
||||||||
|
|
4 |
2 |
7 |
0.286 |
0.453 |
0.037 |
0.710 |
||||||||
|
6.-. Usted en su experiencia cree que el uso de un entorno virtual en el ámbito educativo está. brindando vínculo interactivo docente-estudiante? |
1 |
1 |
7 |
0.143 |
0.125 |
0.004 |
0.579 |
||||||||
|
|
2 |
2 |
7 |
0.286 |
0.453 |
0.037 |
0.710 |
||||||||
|
|
3 |
1 |
7 |
0.143 |
0.125 |
0.004 |
0.579 |
||||||||
|
|
4 |
3 |
7 |
0.429 |
1.000 |
0.099 |
0.816 |
||||||||
|
7.-. ¿Usted cree que las TIC están influenciando en el aprendizaje activo de los estudiantes? |
1 |
1 |
7 |
0.143 |
0.125 |
0.004 |
0.579 |
||||||||
|
|
2 |
2 |
7 |
0.286 |
0.453 |
0.037 |
0.710 |
||||||||
|
|
4 |
4 |
7 |
0.571 |
1.000 |
0.184 |
0.901 |
||||||||
|
8.-. Considera usted que en el proceso educativo está. mejorando el aprendizaje de los estudiantes? |
1 |
2 |
7 |
0.286 |
0.453 |
0.037 |
0.710 |
||||||||
|
|
2 |
1 |
7 |
0.143 |
0.125 |
0.004 |
0.579 |
||||||||
|
|
4 |
4 |
7 |
0.571 |
1.000 |
0.184 |
0.901 |
||||||||
|
9.-. Cree usted que con la mejora en el proceso educativo se está. logrando una educación de calidad? |
1 |
4 |
7 |
0.571 |
1.000 |
0.184 |
0.901 |
||||||||
|
|
3 |
2 |
7 |
0.286 |
0.453 |
0.037 |
0.710 |
||||||||
|
|
4 |
1 |
7 |
0.143 |
0.125 |
0.004 |
0.579 |
||||||||
|
10.-. Considera usted que el proceso educativo está. logrando una aplicación práctica en la enseñanza? |
1 |
4 |
7 |
0.571 |
1.000 |
0.184 |
0.901 |
||||||||
|
|
2 |
1 |
7 |
0.143 |
0.125 |
0.004 |
0.579 |
||||||||
|
|
3 |
1 |
7 |
0.143 |
0.125 |
0.004 |
0.579 |
||||||||
|
|
4 |
1 |
7 |
0.143 |
0.125 |
0.004 |
0.579 |
||||||||
Los datos obtenidos evidencian que un alto porcentaje de proporción alta por sobre el 0.57 a partir de la aplicación de datos y el procesamiento de estos a través del JASP 0.15. Es visible correlación fuerte y directa 0,57 y estadísticamente significativa < .001 entre la mejora en los procesos de calidad educativa y la práctica de enseñanza-aprendizaje.
Una correlación fuerte e indirecta entre el no conocimiento de los recursos y la influencia sobre las tácticas de enseñanza de 0.26. Además, se encuentran correlaciones estadísticamente significativas < .001, moderadas e inversas entre la recepción de los estudiantes (percepción de lo que se enseña) y la comprensión que se considera se tiene sobre lo impartido 0,57.
Figura 1
Esquema porcentual de pregunta 1

Tal y como puede verse en la figura uno, la percepción sobre el uso de un entorno virtual es favorable en un 42,9% lo que permite ratificar que un grupo específico de docentes estaría dispuesto a formar parte de un piloto aplicativo para la dinamización del proceso de enseñanza-aprendizaje a través de un EVA.
Figura 2
Esquema porcentual de pregunta 2

La figura dos nos presenta la percepción porcentual de >0.81 respecto al 42.9% que está en desacuerdo con la afirmación valor porcentual que se encuentra totalmente de acuerdo. Cabe mencionar que el porcentaje favorable sube a >0.92 debido al porcentaje de favorecimiento del 14.3% de respuestas.
Figura 3
Esquema porcentual de pregunta 3

Al igual que con el gráfico anterior, la porción bordea el >0.92 incluida la sumatoria porcentual de las respuestas favorables. En el bocadillo puede verse la distribución equitativa de las respuestas en la que <1.00 tuvo la variable más baja (negativa) en <0.99.
Figura 4
Esquema porcentual de pregunta 4
Figura 5
Esquema porcentual de pregunta 5

También, se encuentra correlaciones estadísticamente significativas < .001, moderadas e inversas entre la culpa y el clima laboral –0.15. También, se encuentra correlaciones estadísticamente significativas < .001, moderadas entre la variable depresión y los síntomas de ansiedad 0,55 y los síntomas de agresividad 0,49. Por otro lado, se encuentra correlaciones estadísticamente significativas < .001, moderadas entre la variable entorno emocional y los síntomas de frustración 0,33; los síntomas de culpabilidad 0,42 y los síntomas de endurecimiento emocional 0,47.
Figura 6
Esquema porcentual de pregunta 6

La percepción sobre el uso de recursos virtuales para el proceso de enseñanza aprendizaje, por parte de los docentes favorece en un 42,9% de la muestra. A estos se suma el 14,3% que lo consideran totalmente positivo mientras que un porcentaje similar, <0.18 de correspondencia es indiferente a esto con un 14,3% de la muestra.
Figura 7
Esquema porcentual de pregunta 7

La percepción docente considera que el >0.57 de la muestra y equivalente al 57,1% de la misma —como se puede observar en la figura diez— favorece positivamente la influencia de las TIC en el proceso de enseñanza-aprendizaje. También, se encuentra correlaciones estadísticamente significativas < .001, moderadas entre la variable de concordancia total y los síntomas de desacuerdo siendo lo positivo un margen de >0,57 y lo negativo de <0.26.
Figura 8
Esquema
porcentual de pregunta 8
Figura 9
Esquema porcentual de pregunta 9

Los síntomas de acuerdo total no supera el 0,15, equivalente al 14,3%; los síntomas de imparcialidad estiman el 0,37 y una máxima de 0,42. También, se encuentra correlaciones estadísticamente significativas < .001, moderadas entre la variable de aceptación y de acuerdo total por sobre el 0,57.
Figura 10
Esquema porcentual de pregunta 10

Se encuentra correlaciones estadísticamente significativas < .001, moderadas entre la variable de la pregunta 9 y los síntomas de aceptación de la pregunta 10 con un 0,57 de afirmación por un 0,14; los síntomas de desacuerdo 0,14; imparcialidad por el mismo nivel <0,14.
Discusión de los resultados. -
Uno de los principales elementos en influenciar el desarrollo de propuestas para la implementación de LMS se deben a la falta de familiaridad que han tenido los docentes con este tipo de recursos. A ello se suma la poca distribución de contenidos a través de repositorios educativos lo que ha generado que el estudiantado comparta tareas o recursos a través de blogs o páginas no oficiales.
La ausencia de repositorios base o de estructuras académicas adecuadas para la información conllevan a que la educación con recursos virtuales, a pesar de ser vista como un proceso de innovación, no posea una recepción apropiada al no existir una cultura de autoaprendizaje y seguimiento.
Sobre ello, Younes et al. (2016) sostiene que el nivel de usuarios web mucho antes de la pandemia ya había superado los 2.5 millones de actividad continua, este dato fue duplicado durante el primer trimestre de la pandemia sólo en Ecuador de acuerdo con datos del INEC (2021) lo cual superaba la propia estadística del mismo instituto en 2016 en la que se estimaba que 9 de cada 10 familias tienen por lo menos un teléfono celular, el 36 % de las familias en escala nacional tiene conexión a la red de internet, de los cuales el 24,5 % posee internet inalámbrico y el 54,1 % posee internet fijo (INEC, 2016) llevando por necesidad a duplicar dicha cifra.
Plantear una serie de estrategias metodológicas que busquen subsanar cómo se aborda la educación en nuestro contexto, uno en el que era notoria la ausencia de preparación en temas de innovación educativa vinculada a las herramientas virtuales. Las nuevas tendencias en el diseño de aprendizaje plantean que el profesor o diseñador debe producir programas y materiales de naturaleza mucho más facilitadora que prescriptiva (Góngora y Martínez, 2012).
Con esto hablamos de que no existe una brecha socio tecnológica, sino que más bien, se debe a una falta de hábito respecto al uso de LMS como apoyo al sistema educativo, sobre todo el fiscal, ya sea por falta de recursos o capacitaciones. Los datos obtenidos a lo largo del estudio permiten explorar como la tecnología, los dispositivos electrónicos y los recursos de comunicación a base de internet han tomado un notable protagonismo en la sociedad. La brecha generacional y el manejo de estos utilitarios representó una de las principales barreras al momento de trabajar procesos pedagógicos (Cabrera, 2022).
El tiempo de uso de los dispositivos electrónicos de acuerdo con Fung et al. (2020) impulsa en los docentes afecciones de salud ligadas con la rutina, obesidad, mala alimentación, baja calidad de sueño, problemas psicológicos que pueden derivar en diversos trastornos, los mismo que pueden influir negativamente en el entorno familiar y por ende el desempeño organizacional.
Referencias investigativas. -
Africano, B., y Anzola de Díaz, M. (2018). El acto educativo virtual. Una visión desde la confianza. Educere, 22(73), 521-531. https://www.redalyc.org/journal/356/35656676003/html/
Araque, I., Montilla, L., Meleán, R., y Arrieta, X. (2018). Entornos virtuales para el aprendizaje: una mirada desde la teoría de los campos conceptuales. Góndola, Enseña Aprende Ciencias, 13(1), 86-100. doi: http://doi.org/10.14483/23464712.11721
Arias Guerrero, M., Sandia Saldivia, B., y Mora Gallardo, E. (2012). La didáctica y las herramientas tecnológicas web en la educación interactiva a distancia. Educere, 16(53), 21–36. http://www.redalyc.org/articulo.oa?id=35623538004
Asamblea Nacional del Ecuador. (2008). Constitución de la República del Ecuador. Lexis. https://www.defensa.gob.ec/wp-content/uploads/downloads/2021/02/Constitucion-de-la-Republica-del-Ecuador_act_ene-2021.pdf
Bedoya Jara, A. (2016). La metodología de educación en línea y su incidencia en la enseñanza virtual de los estudiantes del ciclo superior del Instituto Tecnológico Superior Bolívar de la Ciudad de Ambato. INSTITUTO TECNOLÓGICO SUPERIOR BOLÍBAR. https://repositorio.uta.edu.ec/jspui/handle/123456789/21721
Benavídes, L., Villasís, M., y Ramos, J. (2017). El Entorno Virtual en la generación de conocimiento. CienciAmérica, 6(1), 46-52. https://dialnet.unirioja.es/descarga/articulo/6163727.pdf
Corbett, F. (2020). Connectivism and leadership: harnessing a learning theory for the digital age to redefine leadership in the twenty-first century. Heliyon, Vol. 6, Núm. 1, 1-9. https://doi.org/10.1016/j.heliyon.2020.e03250
Cabrera-Amaiquema, J. (2021). Tecno-pedagogía en las artes visuales: guía metodológica para el uso de EVA alternativos. Congreso Internacional de Pedagogía en Artes y Humanidades. Guayaquil: Universidad de las Artes. https://unae.edu.ec/wp-content/uploads/2021/07/Agenda-PAH-nuevo-2.pdf?fbclid=IwAR2Gaq-hcFYip-0RlH6SPEjNYXYcf03G38MRoWMqSZbZufGWMUQCwN0ytOU
Cabrera-Amaiquema, J. E. (2022). Un encuentro con lo digital: nuevas formas de “aprender a aprender”. YUYAY: Estrategias, Metodologías & Didácticas Educativas, 1(1), 16-22. https://jlacolectivo.com/revistas/index.php/YUYAY/article/view/3
CEPAL-UNESCO. (2020). La educación en tiempos de la pandemia de COVID-19. CEPAL - UNESCO. https://repositorio.cepal.org/bitstream/handle/11362/45904/1/S2000510_es.pdf
Coll, C. (2021). Aprender y enseñar con las TIC: expectativas, realidad y potencialidades. En R. Carneiro, J. C. Toscano, y T. Díaz, Los desafíos de las TIC para el cambio educativo (págs. 113-126). OEI y Santillana. https://www.oei.es/uploads/files/microsites/28/140/lastic2.pdf
Dávila Santillán, L. N. (2019). Estrategias de gamificación aplicadas al desarrollo de competencias digitales docentes. Guayaquil: Magister en Tecnología e Innovación Educativa. http://dspace.casagrande.edu.ec:8080/handle/ucasagrande/1922
Dávila, L., y Cabrera, J. (2021). De lo presencial a lo virtual: adaptaciones en el currículo de asignaturas en artes para el proceso de enseñanza-aprendizaje en modalidad virtual, caso: Nivelación UArtes Semestres 2020. 1127-1141 https://www.researchgate.net/publication/363650739
De la Compensación de las Desigualdades en la Educación, Art 23 (Biblioteca y Archivo Central del Congreso de la Nación 15 de 08 de 2018). https://www.bacn.gov.py/leyes-paraguayas/3766/ley-n-1264-general-de-educacion
de Guayaquil–Guayas-Ecuador, S. ANTECEDENTES, CUESTIONAMIENTO Y PROPUESTAS PARA EL AULA REGULAR 2016-2017.
Fung FMP, Rojas MEJ, Delgado CLG. (2020) Impacto del tiempo de pantalla en la salud de niños y adolescentes. Revista Médica Sinergia; 5 (06): 1-10.
Ghavifekr, S., y Rosdy, W. (2015). Teaching and learning with technology: Effectiveness of ICT integration in schools. International Journal of Research in Education and Science, Vol. 1, No. 2, 171-191. https://files.eric.ed.gov/fulltext/EJ1105224.pdf
Jiménez, D., Mora, M., y Cuadros, R. (2016). 209-223. La importancia de las nuevas tecnologías en el proceso educativo. Propuesta didáctica TIC para ELE: mELEndien7dias, 18(2), 209-223. https://revistascientificas.us.es/index.php/fuentes/article/view/2814
Martínez Alvarado, H. (2021). La integración de las TIC en instituciones educativas. En R. Carneiro, J. C. Toscano, y T. Díaz, Los desafíos de las TIC para el cambio educativo (págs. 61-71). OEI y Santillana. https://www.oei.es/uploads/files/microsites/28/140/lastic2.pdf
Moreira, M. A. (2012). ¿Al final, qué es aprendizaje significativo? Revista Qurriculum, 25; marzo 2012, pp. 29-56 https://riull.ull.es/xmlui/bitstream/handle/915/10652/Q_25_%282012%29_02.pdf?sequence=5yisAllowed=y
Mujica, P., Ortiz, P. P., Moreira, M. B., Amaiquema, J. C., Matute, G. C., D’aubeterre, L., ... & Pinzón, J. S. Entre la pedagogía y las artes.
Pabón-Rúaa, D., y López-Riosa, S. Y. (2019). La actividad experimental apoyada en las TIC desde la teoría de los campos conceptuales. Latin American Journal of Science Education, 6(12032), 1-18. http://www.lajse.org/may19/2019_12032.pdf
Perlaza, J., y Vimos, B. (2013). APRENDIZAJE SIGNIFICATIVO EN MATEMÁTICA Y SU INFLUENCIA EN EL RENDIMIENTO ACADÉMICO. Milagro: Universidad Estatal de Milagro. http://repositorio.unemi.edu.ec/bitstream/123456789/666/3/APRENDIZAJE%20SIGNIFICATIVO%20EN%20MATEM%C3%81TICA%20Y%20SU%20INFLUENCIA%20EN%20EL%20RENDIMIENTO%20ACAD%C3%89MICO.pdf
Rivadeneira, E. (2017). Competencias didácticas-pedagógicas del docente, en la transformación del estudiante universitario. Orbis, Revista Científica de Ciencias Humanas, 41-55.
Salazar, S. (2018). La familia asume el uso de las TIC como apoyo al aprendizaje. En M. Gallegos Navas, La inclusión de las TIC en la educación de personas con discapacidad (págs. 147-155). UPS Quito. https://dspace.ups.edu.ec/bitstream/123456789/17078/1/La%20inclusio%CC%81n%20de%20las%20TIC%20en%20la%20educacion%20de%20personas%20con%20discapacidad.pdf
Serrano, J (2022) Propuesta metodológica para la elaboración de un guion instruccional que fortalezca las actividades de vinculación comunitaria a través de la práctica artística en estudiantes de Educación General Básica subnivel Superior. http://201.159.223.180/bitstream/3317/19226/1/T-UCSG-PRE-FIL-CE-32.pdf
Triglia, A. (2018). Las 4 etapas del desarrollo cognitivo de Jean Piaget. Universidad de Guadalajara. http://biblioteca.udgvirtual.udg.mx/jspui/handle/123456789/2942
UNESCO. (2020). Las TIC en la Educación. https://es.unesco.org/themes/tic-educacion
Williams, P. (2017). Experiential learning within Design and Technology. Research Gate, 1-23. https://doi.org/10.13140/RG.2.2.17205.88807
Younes, F., Halawi, G., Jabbour, H., El Osta, N., Karam, L., Hajj, A., y Rabbaa Khabbaz, L. (2016). Internet addiction and relationships with insomnia, anxiety, depression, stress and self-esteem in university students: a cross-sectional designed study. Plos One, 11(9), e0161126. https://doi.org/10.1371/journal.pone.0161126
Zabalza, M. (2009). Ser un profesor universitario hoy. Cuestión Universitaria, 69-81.