Hyperdraw: a Hypergraph-Based Tool for Enhancing Content Design in Clinical Education
(esp) Hyperdraw: una herramienta basada en hipergrafos para mejorar el diseño de contenidos en la formación clínica.
(port) Hyperdraw: uma ferramenta baseada em hipergrafos para melhorar o design de conteúdo na formação clínica.
Benemérita Universidad Autónoma de Puebla
https://orcid.org/0000-0002-7259-3525
Benemérita Universidad Autónoma de Puebla
https://orcid.org/0000-0001-6480-6810
Daniel Isaac Rosas-Mendoza
Benemérita Universidad Autónoma de Puebla
https://orcid.org/0009-0003-5798-3570
Moyao-Martínez, Y., Cerón-Garnica, C. & Rosas-Mendoza, D. (2025) Hyperdraw: a Hypergraph-Based Tool for Enhancing Content Design in Clinical Education. YUYAY: Estrategias, Metodologías & Didácticas Educativas, 5(3), 56–72. https://doi.org/10.59343/yuyay.v5i1.96
Recepción: 05-08-2025 / Aceptación: 29-10-2025 / Publicación: 30-11-2025
![]()
Compilatio Master+ IA Similarity

Abstract
Medical knowledge is complex, multidimensional and widespread, hence, hardly represented by current resources and organizers. In this paper it is introduced HyperDraw a hypergraph editor designed to model these intricate connections through hyperedges, facilitating meaningful learning in medical education. Developed and evaluate an intuitive hypergraph editor for decomposing complex medical concepts into structured, visual representations aligned with meaningful learning theory and the Cone of Proximal Development (ZPD). HyperDraw was implemented using a modular architecture with GUI components (nodes, hyperedges, layout algorithms) that allows students and educators to model hypergraphs intuitively and functions for image exportation. Also, its easily modifiable architecture allows programmers to meet medical education needs. With this implementation it is expected that students will experience a significative learning by showing them relationships, patterns, and high order connections in simple and easily readable schemes they can comprehend at first sight. Hypergraph-based organizers significantly improve representation of medical knowledge complexity versus traditional methods. HyperDraw´s intuitive interface and extensible design position as a valuable resource for personalized medical education, promoting deeper understanding through relationship-oriented learning structures.
Keywords: hypergraph-based editor; knowledge representation; medical education; visual learning tools; educational software architecture.
Resumen
El conocimiento médico es complejo, multidimensional y extenso, por lo que resulta difícil de representar con los recursos y organizadores actuales. En este artículo se presenta HyperDraw, un editor de hipergrafos diseñado para modelar estas intrincadas conexiones mediante hiperaristas, facilitando así un aprendizaje significativo en la educación médica. Se desarrolló y evaluó un editor de hipergrafos intuitivo para descomponer conceptos médicos complejos en representaciones visuales estructuradas, alineadas con la teoría del aprendizaje significativo y el Cono de Desarrollo Próximo (ZDP). HyperDraw se implementó utilizando una arquitectura modular con componentes de interfaz gráfica de usuario (nodos, hiperaristas, algoritmos de diseño) que permite a estudiantes y educadores modelar hipergrafos de forma intuitiva y ofrece funciones para la exportación de imágenes. Además, su arquitectura fácilmente modificable permite a los programadores satisfacer las necesidades de la educación médica. Con esta implementación, se espera que los estudiantes experimenten un aprendizaje significativo al mostrarles relaciones, patrones y conexiones de alto orden en esquemas sencillos y fáciles de leer que puedan comprender a primera vista. Los organizadores basados en hipergrafos mejoran significativamente la representación de la complejidad del conocimiento médico en comparación con los métodos tradicionales. La interfaz intuitiva y el diseño extensible de HyperDraw lo posicionan como un recurso valioso para la educación médica personalizada, promoviendo una comprensión más profunda a través de estructuras de aprendizaje orientadas a las relaciones.
Palabras clave: Editor basado en hipergrafos; representación del conocimiento; educación médica; herramientas de aprendizaje visual; arquitectura de software educativo.
Resumo:
O conhecimento médico é complexo, multidimensional e disseminado, sendo, portanto, dificilmente representado pelos recursos e organizadores atuais. Este artigo apresenta o HyperDraw, um editor de hipergrafos projetado para modelar essas conexões intrincadas por meio de hiperarestas, facilitando a aprendizagem significativa na educação médica. Desenvolvemos e avaliamos um editor de hipergrafos intuitivo para decompor conceitos médicos complexos em representações visuais estruturadas, alinhadas à teoria da aprendizagem significativa e ao Cone de Desenvolvimento Proximal (ZDP). O HyperDraw foi implementado utilizando uma arquitetura modular com componentes de interface gráfica (nós, hiperarestas, algoritmos de layout) que permite a alunos e educadores modelar hipergrafos intuitivamente, além de funções para exportação de imagens. Sua arquitetura facilmente modificável permite que programadores atendam às necessidades da educação médica. Com essa implementação, espera-se que os alunos vivenciem uma aprendizagem significativa, mostrando-lhes relações, padrões e conexões de alta ordem em esquemas simples e de fácil leitura, que podem ser compreendidos à primeira vista. Organizadores baseados em hipergrafos melhoram significativamente a representação da complexidade do conhecimento médico em comparação aos métodos tradicionais. A interface intuitiva e o design extensível do HyperDraw o posicionam como um recurso valioso para a educação médica personalizada, promovendo uma compreensão mais profunda por meio de estruturas de aprendizagem orientadas para o relacionamento.
Palavras-chave: Editor baseado em hipergrafos; representação do conhecimento; educação médica; ferramentas de aprendizagem visual; arquitetura de software educacional.
Author Notes:
The authors declare no conflicts of interest.
Written informed consent was obtained from all participants, without any financial compensation.
A 14% Artificial Intelligence (AI) tool was used to format the data for the journal.
Notas de los autores:
Los autores declaran no tener conflictos de intereses.
Se obtuvo el consentimiento informado por escrito de todos los participantes, sin compensación económica alguna.
Para la elaboración del documento se contrastó un 14% de Inteligencia Artificial (IA) para la adecuación de datos en formato de la revista.
Notas dos autores:
Os autores declaram não haver conflitos de interesse. Os autores declaram não haver conflitos de interesse.
O consentimento livre e esclarecido por escrito foi obtido de todos os participantes, sem qualquer compensação financeira.
Uma ferramenta de Inteligência Artificial (IA) de 14%
foi utilizada para formatar os dados para a publicação no periódico.
Preclinical studies considered the basis for medical education ought to be mastered by students as a step towards preparing future medical specialists for the rapidly changing environment involving medicine. With the purpose of achieving this, universities have introduced new student-centered, active, creative as well as engaging teaching strategies (Lainez et al., 2025; Khong et al., 2024). Furthermore, even before the COVID-19 pandemic when context spurred education centers to adopt technological strategies to continue education, blended learning was strongly recommended (Ashraf et al., 2024) for preparing highly trained doctors (Gaur et al., 2020).
Complex cases including multimorbidity may overwhelm students and cause them unsteadiness regarding their preparedness for practice. These multidimensional cases are often difficult to analyze as they cannot be easily isolated or viewed by controlled chunks of information like they are taught in classes, making students feel like they are shielded from reality. For instance, the following opinions gathered by Bezzina et al., (2025)
I do not think I'll ever feel ready … because complexity is, well, complex. [Laughter]. I feel like with experience it will get better … There will be complex patients which I'm not sure what's going on but I will feel more ready, and hopefully we will have the support to be able to deal with it. (Bezzina et al., 2025, p. 5)
I think it feels a bit overwhelming because in medical school you are told like a patient comes in with these classical symptoms. Then you go to clerk someone in and you start thinking about one aspect of history, but then you have other bits, and it just adds increasingly to it. You get to a point where there's just so much there, and I'm used to dealing with everything with bite sized chunks, rather than combining a lot of things together. We have not had a huge amount of practice on that […] because when we do learn, we learn everything in isolation, but real patients aren't like that. (Bezzina et al., 2025, p. 4)
Such complexity often requires didactic resources to ease knowledge grasping and comprehension, this includes the use of Information and Communication Technologies (ICTs). These resources are a core part of learning strategies. Focusing on codification strategies, knowledge organization techniques such as sequences, maps and diagrams are used with the main purpose of moving information from short term memory to long term memory (Santillan et al., 2021).
Additionally, interactive technologies have shown improvements in adaptability in professional medical training, allowing students to integrate complex clinical concepts (Yépez Mancero, 2025). The appropriate integration of ICTs enhances teaching and learning in medical education by facilitating continuous learning processes aimed at achieving better educational outcomes, while promoting collaborative study strategies and encouraging students to take responsibility for their own training (Rodríguez-Padial et al., 2022). Furthermore, the gradual, orderly, and planned progression of learning, together with competency maps, helps consolidate what has been learned in a way that enables students to analyze, relate, interpret, and meaningfully apply information, guiding them toward more complex clinical reasoning (Rodríguez-Díaz et al., 2025).
The urge of enhancing the contents by applying technologies originates Hyper Draw: a hypergraph editor that aims to decompose knowledge, organize and create schemes based on hypergraphs (McGee et al., 2024; Ogundiya et al., 2024). In the following paragraphs it is discussed why this tool aims to enhance medical education by providing a multidimensional structure. Furthermore, it is shown, an overview of Hyper Draw’s software architecture, the expected advantages of this system, its further implementation in medical schools as well as a route to constantly update the program guaranteeing meeting the needs of this rapidly growing science.
Current medical education requires students to grasp knowledge within anatomy, histology, and other related sciences. Also, best practices suggest understanding “foreign” disciplines such as biotechnology, robotics, pharmaceuticals, economy, epigenetics, among others (Palencia, 2020). These fields hold an enormous number of interrelated concepts, causing contents to be extensive and in consequence harsh to organize.
Graphical organizers have proven to be a useful tool for students when it comes to organizing knowledge and developing critical thinking. Nonetheless, they have certain limitations. Ignatavicius and Silvestri (2025) found that students templates used by students when making graphic organizers “limit the creativity of the learner and often do not provide ample opportunity for learners to make connections among concepts and discover those relationships”. This takes relevance provided students use these templates to build graphical representations rapidly, for instance one of the more popular tools, concept maps.
Walvekar et al., (2021) noted, “some students found that preparing the concept maps is time consuming”. Kassab (2016) also remarked, “concept mapping as a learning tool does not match the learning styles of many students”. Additionally, according to Iriarte this tools lack of facilities to represent highly complex information as they represent linear or hierarchical sequences (as cited in García et al., 2020). Therefore, it is necessary to find a tool that allows students to make complex connections among concepts, quickly to develop and that can match multiple learning styles.
Theoretical Framework
Hypergraph
theory extends graphs considering sets as generalized edges (hereinafter,
hyperedges) and calling hypergraph the whole of these hyperedges. Bretto (2013)
defines a hypergraph
denoted as
on a finite set
of vertices, as a
family
, (
is a finite set of
indexes) of subsets of
called hyperedges.
Colloquially, a hypergraph, is a structure where multiple chunks of data
(called vertices) are somehow related, each relationship is called hyperedge.
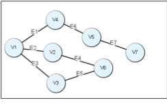
In
graphs edges can only link two vertices. However, hyperedges can link more than
two vertices, opening a variety of new applications for this mathematical
structure. In Figure 1 it is shown an example. In the hypergraph, hyperedges
and
link three vertices (
,
,
and
,
,
respectively) and
relates four (
,
,
,
). In the other hand,
all the graph’s edges (
to
) relate exactly two
vertices.
Figure 1
A graph (left) and hypergraph (right) comparison


Source: Own elaboration (2025)
Hypergraph
relationships avoid
the decomposition of information into small, impractical chunks. Besides, they
enhance the process of finding patterns and high order connections in
widespread information contexts making them suitable to represent complex
interrelated concepts (Luo et al., 2025). Multiple theories support the use of
multidimensional structures in learning processes Santillan et al., (2021) show
at least three of them, Ausbel’s meaningful learning theory, Vygotsky’s
constructivism and cognitivism.
Firstly, Ausubel’s meaningful learning theory. It states meaningful learning occurs when new information is consciously linked to existing, creating stable connections within the learner’s cognitive structures. In the context of hypergraphs, these structures organize knowledge in a network of interrelated nodes, enabling learners to visualize and strengthen associations between new and prior concepts.
On the other hand, constructivism introduces the concept of Zone of Proximal Development (ZPD) defined as “the difference between a child's ‘actual developmental level as determined by independent problem solving’ and the child's ‘potential development as determined through problem solving under adult guidance or in collaboration with more capable peers'” (Gauvain, 2020). Generalizing for every student, professors would be these “more capable peers”, they ought to break down the concepts into smaller and more accessible chunks that allow students to actively involve themselves in the process of knowledge building (Gutiérrez-Braojos et al., 2024). Hypergraphs can play a key role in breaking down concepts and creating these chunks of information via creating complex connections between nodes (Czinczel et al.,2025).
Finally, the cognitivist theory, based on rationalism, states learning occurs as a representation of the world around the student. In consequence, humans do not only receive information and give a response, but we also process the stimulus we grasp throughout our senses via mental schemes and structures (Mayer, 2024). The representation of such structures in graphics, is then a powerful tool in cognitivist theory (Cândido,2025).
Analyzing the previous ideas and seizing the properties of hypergraphs, a knowledge representation structure where complex connections can be spotted almost automatically can be built. This reinforces different teaching techniques therefore, providing contents that are easily grasped by medical students.
Technological proposal
Analyzing HyperDraw provides a Graphic User Interface (GUI) to model hypergraphs. It includes tools for creating, editing and deleting vertices and hyperedges, as shown in Figure 2. Also, users can save hypergraphs to a file for further edition or convert their schemes into png images.
Figure 2
HyperDraw GUI

Source: Own elaboration (2025)
The first step during the software design was to decide the scope and aim of the project. Colleges and universities were targeted as the main users that might be interested in this project. Due to this, a versatile development platform was needed. Therefore, the election to build Hypergraph using Java 21, additionally since Swing is small and included in most Java Development Kits (JDKs), the GUI was built using this framework.
Next, the core tools the editor must have were stablished. It was primordial to have the possibility to create nodes, relate them using hyperedges, deleting relationships, hyperedges and nodes. Also, to assure permanency, sharing and further editing, two options were created, a save to file and save as png image. When the basic requirements were clear, the GUI was designed to organize buttons and prioritize user interaction.
The next step regarding the software engineering process was coding the editor. For this, a component-oriented architecture was selected, this is dividing the system into a series of packages and components, each with its own specific responsibility. The views package manages the windows of the system. It organizes the components and methods needed by the windows to operate efficiently.
The components package manages the different GUI components that allows users to interact with the editor and model hypergraphs. It is composed of four subpackages, as shown in Table 1.
Table 1
Subpackages of the Components Module
|
Subpackage |
Responsibility |
|
abs |
Manages the code interfaces for the interactive components. |
|
hypergraph |
Manages nodes, hyperedge and line graphic components. |
|
misc |
Manages the toolbar, its radio buttons and buttons. |
|
properties |
Manages the property panel and its components allowing users to change nodes and hyperedges characteristics. |
Source: Own elaboration (2025)
Modifying each component separately allows the programmer to make modifications to specific parts of the system without altering the remaining pieces at all. Therefore, this kind of architecture is more adequate to build a strong, maintainable as well as scalable, graphic editor.
Finally, HyperDraw was peer reviewed to identify possible improvements, test its integrity between different operating systems and validate it will not unexpectedly fail during any operation. This review proved the program to be stable across Windows and Fedora Linux and recommended adding panning and zooming features to enhance user experience.
During this las phase, user and technical manuals were developed. These manuals may ease the implementation, as ICTs professionals would have a guide on how to install and apport to the project, and users, will not need to figure out on their own how to operate the program, nor wait a formal capacitation to be provided to them. For instance, creating hypergraphs using HyperDraw can be done in the following simple steps:
· First, select the add node tool and click on the work area to add nodes, as shown in Figure 3.
· Then, press the edit button and use shift + click to select the group of nodes you want to relate using hyperedges, as shown in Figure 4.
· Finally, use the button “Create hyperedge” to relate the nodes, as shown in Figure 5.
To implement this system in medical education, it is necessary to change the labels of nodes and hyperedges to represent meaningful information. This can be done through the property panel, as shown in Figure 6.
Figure 3
Adding nodes

Source: Own elaboration (2025)
Figure 4
Selecting nodes

Source: Own elaboration (2025)
It is seen that few steps are necessary to build a meaningful diagram that might enhance the quality of contents of medical education decomposing complex information into a series of keywords and relationships.
Figure 5
Creating hyperedges

Source: Own elaboration (2025)
Figure 6
Change labels using the property panel

Source: Own elaboration (2025)
Discussion and Future Work
It is important to note that a core part of educational tools is constant improvement as an action to guarantee their compliance with real needs. Therefore, HyperDraw must be in a process of continuous development. It is planned to integrate HyperDraw’s into educational platforms such as University Blogs or Moodle. As the system was developed using Java 21, embedding the editor into other platforms, may not represent a major problem and this will make HyperDraw accessible to students all over the world.
Regarding the editor itself, it is planned to enhance the user experience by adding tools for grouping nodes or a navigation map. Also, personalization options such as changing the font, the size of the nodes and even the color of the labels, may be available in the future.
In this first stage of the project, HyperDraw’s distribution is planned to be done via internet. The editor would be published in a repository where both students and educators may be able to request for access. At the same time, the user manual would be distributed among the software. Providing a detailed guide created to teach users how to adopt HyperDraw for their own benefit and seize its whole potential.
Furthermore, it is expected to collect feedback from users through e-mails. This allows continuous evaluation and shows an insight into how users are using the editor, their needs and the direction this project should foresight to compliant with the latest educational requirements.
It is proposed that educators use this tool to create graphic organizers as a way of presenting dense and complex content in hypergraphs that makes the ideas easier to grasp. For example, when diagnosing, educators may decompose the characteristics of each diagnosis and relate them using hyperedges, visually representing different illnesses, as shown in Figure 7.
Figure 7
Hypergraph: Diabetes 2, CKD, and CHF
Source: Own
elaboration
(2025) 
Another possible use case is during exam preparation. Medical students often present multiple examinations that, besides a grade, may determine their career path. Using these hypergraph-based organizers allows students to relate the information they may find within the exam. For example, provided the exam asks some questions about common neurological diseases, students can create a diagram to show the steps of a focused neurological exam and what to look at in each stage. An example is shown in Figure 8.
In contrast with traditional graphic organizers, hypergraphs represent multiple semantic relationships between concepts, hence, providing a relationship-oriented organization. In consequence, modeling complex interactions, correlating concepts systematically and multidimensionally is done effectively. According to the meaningful learning theory this contributes to grasping concepts by relating new ideas with structured cognitive structures.
Additionally, editor’s flexibility makes it possible to personalize hypergraphs organizers according to the specific needs and learning styles of each student. Considering the ZPD, this implies students are more actively involved in their learning process and are more likely to grasp the new information presented by their professors. Moreover, providing a tool to build and visualize the direct as well as the indirect relationships between elements, encourages a deeper comprehension of studied topics.
Figure 8
Steps and concepts involved in a focused neurological exam

Source: Own elaboration (2025)
Conclusions
The present study explored the use of Hyperdraw, a hypergraph-based tool, to enhance the organization and understanding of clinical content among medical students. The results demonstrate that hypergraph-based organizers offer significant advantages over traditional methods, as they allow for the representation of multiple, multidimensional semantic relationships between concepts. This capability facilitates the modeling of complex interactions and the construction of structured cognitive maps, contributing to deeper, more meaningful learning that can be effectively transferred to real clinical scenarios.
Furthermore, the flexibility and personalization of Hyperdraw enable organizers to be adapted to individual students’ learning styles and needs, fostering active participation, autonomy, and the integration of prior knowledge with new information. The ability to visualize both direct and indirect relationships between content elements enhances the understanding of complex concepts and strengthens the cognitive competencies essential for clinical practice, including analysis, synthesis, and the application of information in real contexts.
The findings also highlight that incorporating hypergraph-based tools can transform clinical education, offering alternatives that optimize knowledge structuring, stimulate critical thinking, and support strategic learning planning. This student-centered approach promotes active knowledge construction and more meaningful learning, addressing the diversity of learning paces and styles in educational settings.
Hyperdraw establishes itself as an innovative and effective tool for clinical education, capable of facilitating the understanding of complex relationships, strengthening meaningful learning, and transforming pedagogical practices, thereby contributing comprehensively to the formation of competent and critical healthcare professionals.
Finally, it is recommended that future research evaluate the impact of Hyperdraw across different educational levels and disciplines, as well as its integration with other learning technologies, such as clinical simulators and adaptive platforms. This line of research will allow for maximizing the tool’s potential to improve academic performance, information retention, and the development of transversal competencies in health sciences students.
References
Ashraf, M. A., Tsegay, S. M., Gull, N., Saeed, M., y Dawood, H. (2024). The role of blended learning in improving medical students’ academic performance: evidence from Pakistan. Frontiers in Medicine, 11, 1425659. https://doi.org/10.3389/fmed.2024.1425659
Bezzina, C., McQuade, R., Lowe, W., Mair, F., y Pope, L. (2025). Shattering the Shield: Embracing complexity in undergraduate medical education. The Clinical Teacher, 22(1). https://doi.org/10.1111/tct.70018
Bretto, A. (2013). Hypergraph Theory: An Introduction. Springer.
Cândido, V. (2025). Applying cognitive theory of multimedia learning principles to augmented reality: Effects on learning outcomes and cognitive load. Educational Technology Research and Development. https://doi.org/10.1016/j.chbr.2025.100678
Czinczel, B. K., Fiedler, D., Großschedl, J., et al. (2025). Describing students’ learning about evolution through the lens of digital concept mapping. Evolution: Education and Outreach, 18, Article 10. https://doi.org/10.1186/s12052-025-00225-4
García Franco, Vilma, García Núñez, Rubén Darío, Lorenzo González, Marisela, y Hernández Cabezas, Marilys. (2020). Los mapas conceptuales como instrumentos útiles en el proceso enseñanza-aprendizaje. MediSur, 18(6), 1154-1162. http://ref.scielo.org/79qxn4
Gaur, U., Majumder, M.A., Sa, B. et al. Challenges and Opportunities of Preclinical Medical Education: COVID-19 Crisis and Beyond. SN Compr. Clin. Med. 2, 1992–1997 (2020). https://doi.org/10.1007/s42399-020-00528-1
Gauvain, M. (2020). Vygotsky’s Sociocultural Theory. In Elsevier eBooks (pp. 446–454). https://doi.org/10.1016/b978-0-12-809324-5.23569-4
Gutiérrez-Braojos, C., Rodríguez-Chirino, P., Pedrosa Vico, B., y Rodríguez Fernández, S. (2024). Teacher scaffolding for knowledge building in the educational research classroom. RIED-Revista Iberoamericana de Educación a Distancia, 27(2). https://doi.org/10.5944/ried.27.2.38969
Ignatavicius, D. D., y Silvestri, L. (2025, January 24). Using graphic organizers to develop clinical judgment in prelicensure nursing students. www.elsevier.com. https://www.elsevier.com/resources/organizers-to-develop-clinical-judgment
Kassab, S. E. (2016). Concept mapping as a tool for learning and assessment in problem-based learning. Suez Canal University Medical Journal, 19(1), 1-9. https://doi.org/10.21608/scumj.2016.43870
Khong, M. L., y Tanner, J. A. (2024). Surface and deep learning: A blended learning approach in preclinical years of medical school: A mixed-methods longitudinal study. BMC Medical Education, 24, Article 1029. https://doi.org/10.1186/s12909-024-05963-5
Landázuri Lainez, M. A., Chica Andrade, D. E., y Castillo Heredia, L. J. (2025). Impacto de las metodologías activas en el desarrollo de las competencias clínicas en estudiantes de posgrado en medicina interna y pediatría, una revisión de la literatura. ASCE MAGAZINE, 4(4), 2973–2991. https://doi.org/10.70577/asce.v4i4.558
Luo, H., E, H., Chen, G., Zheng, Y., Wu, X., Guo, Y., Lin, Q., Feng, Y., Kuang, Z., Song, M., Zhu, Y., y Tuan, L. A. (2025). HyperGraphRAG: Retrieval-Augmented Generation via Hypergraph-Structured Knowledge Representation. [Preprint]. arXiv. https://arxiv.org/abs/2503.21322
Mayer, R. E. (2024). The past, present, and future of the Cognitive Theory of Multimedia Learning. Educational Psychology Review, 36, Article 8. https://doi.org/10.1007/s10648-023-09842-1
McGee, R. G., Wark, S., Mwangi, F., et al. (2024). Digital learning of clinical skills and its impact on medical students’ academic performance: a systematic review. BMC Medical Education, 24, Article 1477. https://doi.org/10.1186/s12909-024-06471-2
Ogundiya, O., Rahman, T. J., Valnarov-Boulter, I., y Young, T. M. (2024). Looking back on digital medical education over the last 25 years and looking to the future: narrative review. Journal of Medical Internet Research, 26, e60312. https://doi.org/10.2196/60312
Palencia Bocarejo, M. M. (2020). Estrategias didácticas en el aula de medicina para lograr un aprendizaje significativo [Trabajo de especialización. Universidad Militar Nueva Granada], Bogotá, Colombia. https://repository.umng.edu.co/bitstream/handle/10654/36474/PalenciaMilenaMayerly2020.pdf?isAllowed=y&sequence=1
Rodríguez-Díaz, A., Romero-Islas, J., Rodríguez-Romero, J. de J., y Muñoz Esparza, J. C. (2025). Progresiones del aprendizaje y mapas de competencia en educación superior. RIDE. Revista Iberoamericana para la Investigación y el Desarrollo Educativo, 15(30), e867. https://doi.org/10.23913/ride.v15i30.2357
Rodríguez-Padial, L., Fernández, A. M., Jódar Reyesa, M., y Valenzuela López, M. I. (2022). Tecnologías de la información y comunicación (TIC) en formación y docencia. FMC Formación Médica Continuada en Atención Primaria, 29(3), 28–38. https://doi.org/10.1016/j.fmc.2022.03.004
Santillán, M. A. B., Ríos, T. R., Jiménez, O. C. S., y España, I. E. G. (2021). Uso del material didáctico para la mejora del proceso de enseñanza aprendizaje en medicina. RECIMUNDO, 5(3), 168-187. https://doi.org/10.26820/recimundo/5.(2).julio.2021.168-187
Walvekar, P., Baliga, S., y Mahantshetti, G. (2021). Concept map as a teaching and learning tool for medical students. Journal of Education and Health Promotion, 10(1), 35. https://doi.org/10.4103/jehp.jehp_146_20
Yépez Mancero, V. (2025). Implementación de tecnologías interactivas en la educación médica: experiencias y desafíos. Revista Tribunal, 5(10), 206–221. https://doi.org/10.59659/revistatribunal.v5i10.111